☰
□
ブックマーク
東大理系数学 2011-6
方針、略解
(1)
(2)
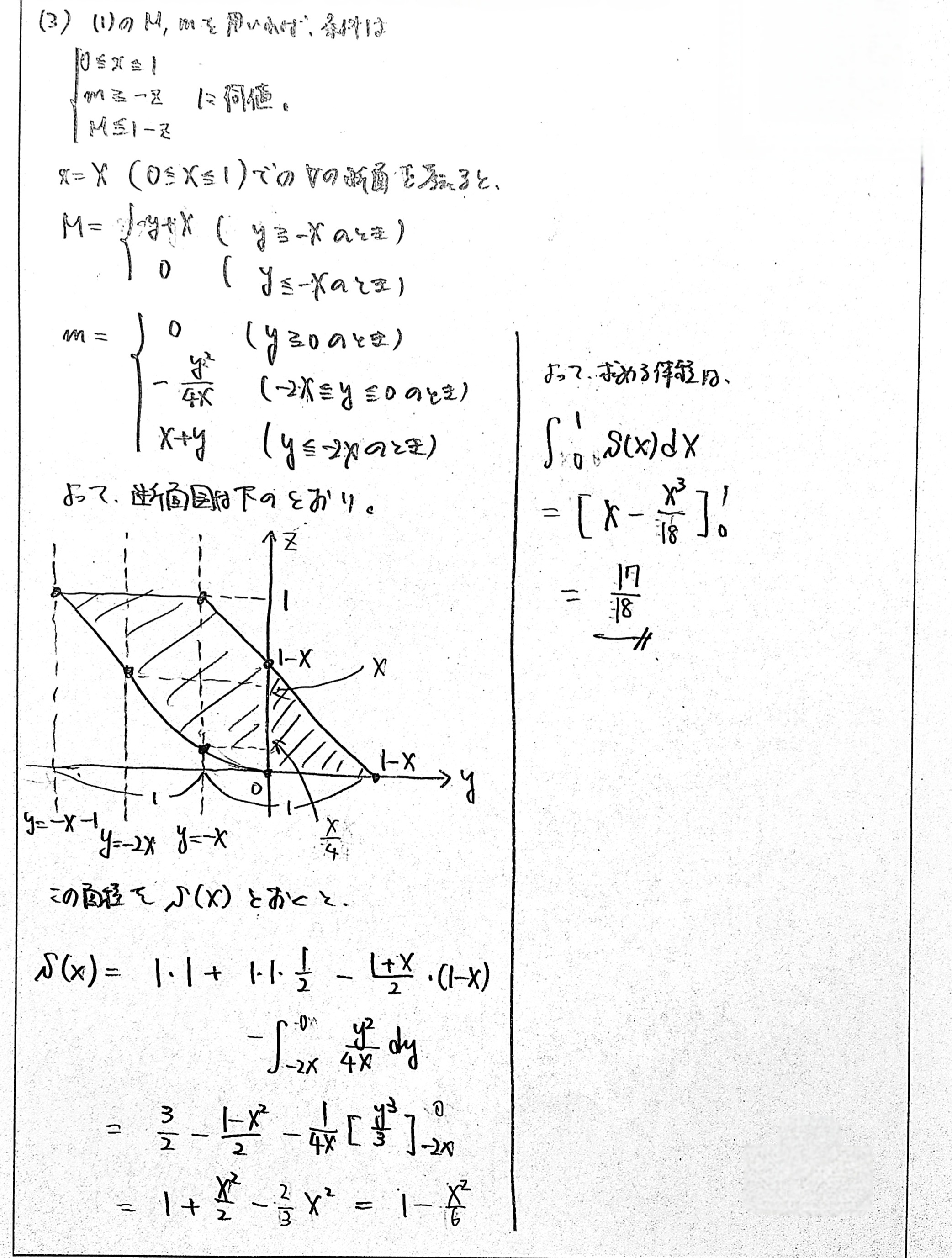
▶ 解答例[1枚目](スキャン画像)(タップで拡大)
▶ 解答例[2枚目](スキャン画像)(タップで拡大)
動く図解
問題の背景
類題紹介
▲